前往化源商城

Nasunin

更新时间:2025-08-25 08:36:32

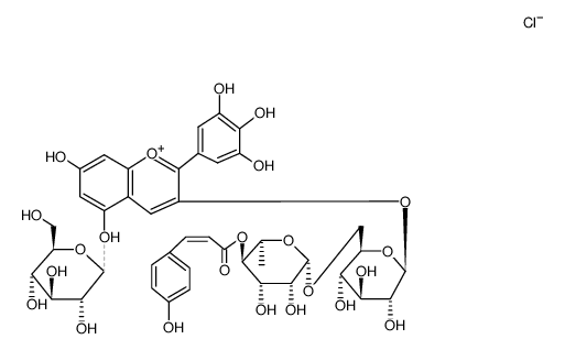
Nasunin结构式
Nasunin结构式
品牌特惠专场
常用名 Nasunin 英文名 Nasunin
CAS号 28463-30-1 分子量 955.26200
密度 N/A 沸点 N/A
分子式 C42H47ClO23 熔点 N/A
MSDS N/A 闪点 N/A

 Nasunin用途


纳苏宁是一种抗氧化剂花青素,具有抗血管生成活性[1]。

 Nasunin名称

英文名 Nasumic

 Nasunin生物活性

描述 纳苏宁是一种抗氧化剂花青素,具有抗血管生成活性[1]。
相关类别
体外研究 在使用大鼠主动脉环的离体血管生成试验中,10µM以上的纳舒宁抑制微血管生长[1]。纳舒宁以剂量依赖性方式(50-200µM)抑制HUVEC增殖[1]。Nasunin通过抑制κB-α抑制剂的降解和NF-κB p65亚单位的核转位,减少LPS诱导的核因子-κB(NF-κB)激活。Nasunin还减弱Akt和p38的磷酸化,这些信号分子参与促炎症介质的产生[1]。
参考文献

[1]. Kiminori Matsubara, et al. Antiangiogenic activity of nasunin, an antioxidant anthocyanin, in eggplant peels. J Agric Food Chem. 2005 Aug 10;53(16):6272-5.

[2]. Wataru Komatsu, et al. Nasunin inhibits the lipopolysaccharide-induced pro-inflammatory mediator production in RAW264 mouse macrophages by suppressing ROS-mediated activation of PI3 K/Akt/NF-κB and p38 signaling pathways. Biosci Biotechnol Biochem. 2017 Oct;81(10):1956-1966.

 Nasunin物理化学性质

分子式 C42H47ClO23
分子量 955.26200
精确质量 954.22000
PSA 378.04000
InChIKey OUUYNFWYLXMNQZ-HNPHZNNWSA-N
SMILES CC1OC(OCC2OC(Oc3cc4c(OC5OC(CO)C(O)C(O)C5O)cc(O)cc4[o+]c3-c3cc(O)c(O)c(O)c3)C(O)C(O)C2O)C(O)C(O)C1OC(=O)C=Cc1ccc(O)cc1.[Cl-]
本网页内容来自不同专业数据源,如对内容有疑义,欢迎联系service1@chemsrc.com。