cas号查询
登录
注册
化源商城
首页
我的化源
个人信息
我的求购
我的供货
快速发布求购
联系我们
English
前往化源商城
文献检索
官能团搜索
结构式搜索
搜索
供应商:
我要出现这里
暂无推荐供应商。
我要出现这里
相关CAS号:
825612-47-3
828932-65-6
40883-17-8
853995-60-5
798540-14-4
86416-45-7
652143-22-1
82668-39-1
117678-55-4
91086-51-0
1185311-95-8
1185317-99-0
1185307-53-2
1027513-37-6
1185318-36-8
1017781-89-3
1185309-70-9
1017781-93-9
1159817-11-4
1159816-63-3
86416-45-7
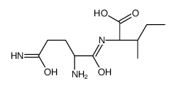
86416-45-7结构式
常用中文名:
(2S,3S)-2-[[(2S)-2,5-diamino-5-oxopentanoyl]amino]-3-methylpentanoic acid
常用英文名:
(2S,3S)-2-[[(2S)-2,5-diamino-5-oxopentanoyl]amino]-3-methylpentanoic acid
CAS号:
86416-45-7
分子式:
C
11
H
21
N
3
O
4
分子量:
259.30200
发布时间:
2016-02-23 01:58:38
更新时间:
2025-09-18 22:08:56
化源商城直购
名称
物化性质
英文名
(2S,3S)-2-[[(2S)-2,5-diamino-5-oxopentanoyl]amino]-3-methylpentanoic acid
英文别名
L-Isoleucine,L-glutaminyl
分子式
C
11
H
21
N
3
O
4
分子量
259.30200
精确质量
259.15300
PSA
139.99000
LogP
1.88500
本网页内容来自不同专业数据源,如对内容有疑义,欢迎联系service1@chemsrc.com。
【86416-45-7】化源网提供CAS号/CAS登录号86416-45-7,CAS No.:86416-45-7的msds、结构式、性质、英文名、生产厂家、作用/用途、分子式/化学式、密度、沸点、熔点等。CAS号查询86416-45-7上化源网,专业又轻松。
标题:86416-45-7_CAS号:86416-45-7_CAS No.:86416-45-7 - 化源网 地址:https://www.chemsrc.com/baike/307085.html
×
详细合成路线
×
退出
×
登录
用户名:
密 码: