前往化源商城

828932-65-6


化源商城直购

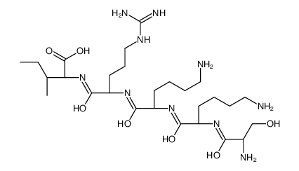
英文名 (2S,3S)-2-[[(2S)-2-[[(2S)-6-amino-2-[[(2S)-6-amino-2-[[(2S)-2-amino-3-hydroxypropanoyl]amino]hexanoyl]amino]hexanoyl]amino]-5-(diaminomethylideneamino)pentanoyl]amino]-3-methylpentanoic acid
英文别名 L-Isoleucine,L-seryl-L-lysyl-L-lysyl-L-arginyl
分子式 C27H54N10O7
分子量 630.78000
精确质量 630.41800
PSA 327.85000
LogP 3.55020
本网页内容来自不同专业数据源,如对内容有疑义,欢迎联系service1@chemsrc.com。