cas号查询
登录
注册
化源商城
首页
我的化源
个人信息
我的求购
我的供货
快速发布求购
联系我们
English
前往化源商城
文献检索
官能团搜索
结构式搜索
搜索
供应商:
我要出现这里
暂无推荐供应商。
我要出现这里
相关CAS号:
1000785-77-2
1000785-73-8
1000785-66-9
1000785-94-3
1000785-64-7
1000785-92-1
1000785-86-3
62473-80-7
344580-07-0
452295-54-4
889117-45-7
888968-73-8
1695759-46-6
889117-72-0
889117-73-1
889117-75-3
889117-80-0
2166258-69-9
628331-20-4
888739-04-6
1000785-77-2
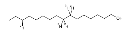
1000785-77-2结构式
常用中文名:
(S)-[7,7,8,8,14-2H5]-1-hexadecanol
常用英文名:
(S)-[7,7,8,8,14-2H5]-1-hexadecanol
CAS号:
1000785-77-2
分子式:
C
16
H
29
D
5
O
分子量:
247.47100
发布时间:
2018-02-21 06:14:45
更新时间:
2025-09-18 18:10:24
化源商城直购
名称
物化性质
英文名
(S)-[7,7,8,8,14-2H5]-1-hexadecanol
分子式
C
16
H
29
D
5
O
分子量
247.47100
精确质量
247.29200
PSA
20.23000
LogP
5.46000
本网页内容来自不同专业数据源,如对内容有疑义,欢迎联系service1@chemsrc.com。
【1000785-77-2】化源网提供CAS号/CAS登录号1000785-77-2,CAS No.:1000785-77-2的msds、结构式、性质、英文名、生产厂家、作用/用途、分子式/化学式、密度、沸点、熔点等。CAS号查询1000785-77-2上化源网,专业又轻松。
标题:1000785-77-2_CAS号:1000785-77-2_CAS No.:1000785-77-2 - 化源网 地址:https://www.chemsrc.com/baike/1435938.html
×
详细合成路线
×
退出
×
登录
用户名:
密 码: