cas号查询
登录
注册
化源商城
首页
我的化源
个人信息
我的求购
我的供货
快速发布求购
联系我们
English
前往化源商城
文献检索
官能团搜索
结构式搜索
搜索
供应商:
我要出现这里
暂无推荐供应商。
我要出现这里
相关CAS号:
1000785-94-3
1000785-92-1
1000785-86-3
1000785-77-2
1000785-83-0
1000785-73-8
1000785-66-9
39756-30-4
75736-49-1
111918-97-9
2227906-23-0
2228198-01-2
2229608-11-9
2229406-06-6
2639431-57-3
2001610-56-4
2228243-78-3
2229411-58-7
2228360-09-4
2385010-28-4
1000785-94-3
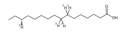
1000785-94-3结构式
常用中文名:
(S)-[7,7,8,8,14-2H5]-hexadecanoic acid
常用英文名:
(S)-[7,7,8,8,14-2H5]-hexadecanoic acid
CAS号:
1000785-94-3
分子式:
C
16
H
27
D
5
O
2
分子量:
261.45500
发布时间:
2018-04-28 03:40:41
更新时间:
2025-06-18 01:47:32
化源商城直购
名称
物化性质
英文名
(S)-[7,7,8,8,14-2H5]-hexadecanoic acid
分子式
C
16
H
27
D
5
O
2
分子量
261.45500
精确质量
261.27200
PSA
37.30000
LogP
5.55230
本网页内容来自不同专业数据源,如对内容有疑义,欢迎联系service1@chemsrc.com。
【1000785-94-3】化源网提供CAS号/CAS登录号1000785-94-3,CAS No.:1000785-94-3的msds、结构式、性质、英文名、生产厂家、作用/用途、分子式/化学式、密度、沸点、熔点等。CAS号查询1000785-94-3上化源网,专业又轻松。
标题:1000785-94-3_CAS号:1000785-94-3_CAS No.:1000785-94-3 - 化源网 地址:https://www.chemsrc.com/baike/1435930.html
×
详细合成路线
×
退出
×
登录
用户名:
密 码: