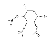
| Name | [(2S,3R,4R,5S,6R)-4,5-diacetyloxy-2-methyl-6-methylsulfanyloxan-3-yl] acetate |
|---|---|
| Synonyms |
Methyl 2,3,4-tri-O-acetyl-b-L-thiofucopyranoside
M1626 (2S,3R,4R,5S,6R)-4,5-bis(acetyloxy)-2-methyl-6-(methylsulfanyl)oxan-3-yl acetate |
| Description | Methyl 2,3,4-Tri-O-acetyl-1-thio-β-L-fucopyranoside is a biochemical reagent that can be used as a biological material or organic compound for life science related research. |
|---|---|
| Related Catalog |
| Density | 1.245g/cm3 |
|---|---|
| Boiling Point | 376.96ºC at 760 mmHg |
| Melting Point | 148ºC |
| Molecular Formula | C13H20O7S |
| Molecular Weight | 320.36 |
| Flash Point | 171.705ºC |
| Exact Mass | 320.09300 |
| PSA | 113.43000 |
| LogP | 0.88930 |
| Index of Refraction | 1.5 ° (C=1,ºCHCl3) |
| Storage condition | Freezer |
| HS Code | 2932999099 |
|---|
|
~82%
84635-54-1 |
| Literature: Matwiejuk, Martin; Thiem, Joachim European Journal of Organic Chemistry, 2011 , # 29 p. 5860 - 5878 |
|
~54%
84635-54-1 |
| Literature: Carbohydrate Research, , vol. 201, # 1 p. 31 - 50 |
|
~71%
84635-54-1 |
| Literature: Jain; Matta Carbohydrate research, 1990 , vol. 208, p. 51 - 58 |
|
~%
84635-54-1 |
| Literature: Journal of Organic Chemistry, , vol. 69, # 22 p. 7758 - 7760 |
|
~%
84635-54-1 |
| Literature: Journal of Organic Chemistry, , vol. 69, # 22 p. 7758 - 7760 |
|
~%
84635-54-1 |
| Literature: Journal of Organic Chemistry, , vol. 69, # 22 p. 7758 - 7760 |
|
~%
84635-54-1 |
| Literature: Bulletin of the Chemical Society of Japan, , vol. 55, # 11 p. 3667 - 3668 |
|
~%
84635-54-1 |
| Literature: Bulletin of the Chemical Society of Japan, , vol. 55, # 11 p. 3667 - 3668 |
| HS Code | 2932999099 |
|---|---|
| Summary | 2932999099. other heterocyclic compounds with oxygen hetero-atom(s) only. VAT:17.0%. Tax rebate rate:13.0%. . MFN tariff:6.5%. General tariff:20.0% |