94134-19-7

94134-19-7 structure
94134-19-7 structure
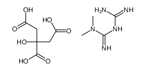
  • Name: 1,1-dimethylbiguanide citrate
  • Chemical Name: 3-(diaminomethylidene)-1,1-dimethylguanidine,2-hydroxypropane-1,2,3-tricarboxylic acid
  • CAS Number: 94134-19-7
  • Molecular Formula: C10H19N5O7
  • Molecular Weight: 321.28700
  • Create Date: 2017-07-02 12:35:18
  • Modify Date: 2025-08-25 18:35:26

Name 3-(diaminomethylidene)-1,1-dimethylguanidine,2-hydroxypropane-1,2,3-tricarboxylic acid
Synonyms EINECS 302-786-3
1,1-Dimethylbiguanide citrate
Boiling Point 309.6ºC at 760mmHg
Molecular Formula C10H19N5O7
Molecular Weight 321.28700
Flash Point 155.2ºC
Exact Mass 321.12800
PSA 221.12000
The content on this webpage is sourced from various professional data sources. If you have any questions or concerns regarding the content, please feel free to contact service1@chemsrc.com.