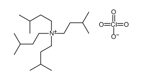
2452-81-5

2452-81-5 structure
2452-81-5 structure
  • Name: tetrakis(3-methylbutyl)azanium,perchlorate
  • Chemical Name: tetrakis(3-methylbutyl)azanium,perchlorate
  • CAS Number: 2452-81-5
  • Molecular Formula: C20H44ClNO4
  • Molecular Weight: 398.02100
  • Create Date: 2016-04-09 11:55:45
  • Modify Date: 2025-08-26 15:50:07

Name tetrakis(3-methylbutyl)azanium,perchlorate
Synonyms 1-Butanaminium,3-methyl-N,N,N-tris(3-methylbutyl)-,perchlorate
Molecular Formula C20H44ClNO4
Molecular Weight 398.02100
Exact Mass 397.29600
PSA 74.27000
LogP 6.20190
The content on this webpage is sourced from various professional data sources. If you have any questions or concerns regarding the content, please feel free to contact service1@chemsrc.com.