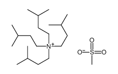
137758-19-1

137758-19-1 structure
137758-19-1 structure
  • Name: methanesulfonate,tetrakis(3-methylbutyl)azanium
  • Chemical Name: methanesulfonate,tetrakis(3-methylbutyl)azanium
  • CAS Number: 137758-19-1
  • Molecular Formula: C21H47NO3S
  • Molecular Weight: 393.66800
  • Create Date: 2017-06-04 02:52:50
  • Modify Date: 2025-09-27 13:12:03

Name methanesulfonate,tetrakis(3-methylbutyl)azanium
Synonyms 1-Butanaminium,3-methyl-N,N,N-tris(3-methylbutyl)-,methanesulfonate
Molecular Formula C21H47NO3S
Molecular Weight 393.66800
Exact Mass 393.32800
PSA 65.58000
LogP 6.22980
The content on this webpage is sourced from various professional data sources. If you have any questions or concerns regarding the content, please feel free to contact service1@chemsrc.com.