前往化源商城

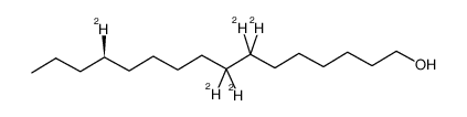
(R)-[7,7,8,8,13-2H5]-1-hexadecanol

更新时间:2024-07-18 09:12:26

(R)-[7,7,8,8,13-2H5]-1-hexadecanol结构式
(R)-[7,7,8,8,13-2H5]-1-hexadecanol结构式
委托求购
常用名 (R)-[7,7,8,8,13-2H5]-1-hexadecanol 英文名 (R)-[7,7,8,8,13-2H5]-1-hexadecanol
CAS号 1000785-64-7 分子量 247.47100
密度 N/A 沸点 N/A
分子式 C16H29D5O 熔点 N/A
MSDS N/A 闪点 N/A

 (R)-[7,7,8,8,13-2H5]-1-hexadecanol名称

英文名 (R)-[7,7,8,8,13-2H5]-1-hexadecanol

 (R)-[7,7,8,8,13-2H5]-1-hexadecanol物理化学性质

分子式 C16H29D5O
分子量 247.47100
精确质量 247.29200
PSA 20.23000
LogP 5.46000
本网页内容来自不同专业数据源,如对内容有疑义,欢迎联系service1@chemsrc.com。