cas号查询
登录
注册
化源商城
首页
我的化源
个人信息
我的求购
我的供货
快速发布求购
联系我们
English
前往化源商城
文献检索
官能团搜索
结构式搜索
搜索
供应商:
我要出现这里
暂无推荐供应商。
我要出现这里
相关CAS号:
741998-06-1
885271-29-4
937037-96-2
1380090-08-3
162959-94-6
162960-26-1
1060811-76-8
862574-89-8
1392277-06-3
180307-01-1
2549015-76-9
2549063-97-8
2549042-01-3
2548983-09-9
2548983-02-2
2548995-74-8
2548979-17-3
2549032-41-7
2549056-82-6
2549007-17-0
741998-06-1
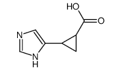
741998-06-1结构式
常用中文名:
2-(1H-咪唑-5-基)环丙烷羧酸
常用英文名:
Cyclopropanecarboxylic acid, 2-(1H-imidazol-4-yl)- (9CI)
CAS号:
741998-06-1
分子式:
C
7
H
8
N
2
O
2
分子量:
152.15100
发布时间:
2018-12-31 12:01:49
更新时间:
2024-09-04 17:51:21
化源商城直购
名称
物化性质
中文名
2-(1H-咪唑-5-基)环丙烷羧酸
英文名
2-(1H-imidazol-5-yl)cyclopropane-1-carboxylic acid
分子式
C
7
H
8
N
2
O
2
分子量
152.15100
精确质量
152.05900
PSA
65.98000
LogP
0.59780
本网页内容来自不同专业数据源,如对内容有疑义,欢迎联系service1@chemsrc.com。
【741998-06-1】化源网提供CAS号/CAS登录号741998-06-1,CAS No.:741998-06-1的msds、结构式、性质、英文名、生产厂家、作用/用途、分子式/化学式、密度、沸点、熔点等。CAS号查询741998-06-1上化源网,专业又轻松。
标题:741998-06-1_CAS号:741998-06-1_CAS No.:741998-06-1 - 化源网 地址:https://www.chemsrc.com/baike/860762.html
×
详细合成路线
×
退出
×
登录
用户名:
密 码: