前往化源商城

品牌现货直购
供应商:我要出现这里


查看所有供应商和价格请点击:

35823-61-1生产厂家

35823-61-1价格

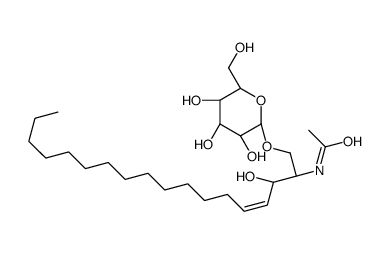
35823-61-1

35823-61-1结构式
35823-61-1结构式
  • 常用中文名:N-Acetylpsychosine
  • 常用英文名:N-Acetylpsychosine
  • CAS号:35823-61-1
  • 分子式:C26H49NO8
  • 分子量:503.66900
  • 相关类别: 研究领域 炎症/免疫
  • 发布时间:2017-06-15 18:48:20
  • 更新时间:2025-10-13 14:05:21
  • N-Acetylpsychosine (C2 Galactosylceramide (d18:1/2:0)),也称为 α-galactosylated C2- Ceramide,具有免疫刺激活性。N-Acetylpsychosine 是研究凋亡机制和树突状细胞 (DCs) 诱导的免疫应答的有效工具。

化源商城直购

中文名 N-乙酰精神病苷
英文名 N-[(E,3R)-3-hydroxy-1-[(2S,3R,4S,5R,6R)-3,4,5-trihydroxy-6-(hydroxymethyl)oxan-2-yl]oxyoctadec-4-en-2-yl]acetamide
英文别名 N-Acetylpsychosine
描述 N-Acetylpsychosine (C2 Galactosylceramide (d18:1/2:0)),也称为 α-galactosylated C2- Ceramide,具有免疫刺激活性。N-Acetylpsychosine 是研究凋亡机制和树突状细胞 (DCs) 诱导的免疫应答的有效工具。
相关类别
体外研究 N-乙酰精神碱诱导浓度依赖性刺激MLR反应,浓度范围为80 ng/mL至2µ克/毫升[1]。
参考文献

[1]. T Sakai, et al. Effects of alpha- and beta-galactosylated C2-ceramides on the immune system. J Med Chem. 1998 Feb 12;41(4):650-2.

分子式 C26H49NO8
分子量 503.66900
精确质量 503.34600
PSA 152.20000
LogP 2.76610
本网页内容来自不同专业数据源,如对内容有疑义,欢迎联系service1@chemsrc.com。