前往化源商城

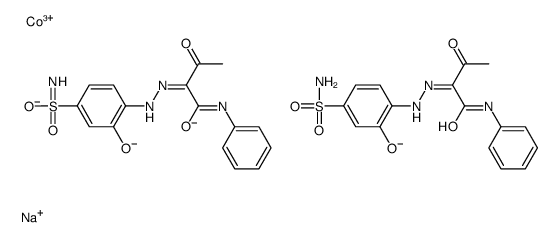
66104-83-4

66104-83-4结构式
66104-83-4结构式

化源商城直购

英文名 sodium,cobalt(3+),(2E)-2-[(2-oxido-4-sulfamoylphenyl)hydrazinylidene]-3-oxo-N-phenylbutanimidate
英文别名 Cobaltate(1-),bis(2-(2-(4-(aminosulfonyl)-2-(hydroxy-kappaO)phenyl)diazenyl-kappaN1)-3-(oxo-kappaO)-N-phenylbutanamidato(2-))-,sodium (1:1)
Cobaltate(1-),bis(2-((4-(aminosulfonyl)-2-(hydroxy-kappaO)phenyl)azo-kappaN1)-3-(oxo-kappaO)-N-phenylbutanamidato(2-))-,sodium
Cobaltate(1-),bis(2-((4-(aminosulfonyl)-2-hydroxyphenyl)azo)-3-oxo-N-phenylbutanamidato(2-))-,sodium
沸点 631.4ºC at 760 mmHg
分子式 C32H28CoN8NaO10S2
分子量 830.66500
闪点 335.7ºC
精确质量 830.06000
PSA 337.95000
LogP 7.89950
本网页内容来自不同专业数据源,如对内容有疑义,欢迎联系service1@chemsrc.com。