cas号查询
登录
注册
化源商城
首页
我的化源
个人信息
我的求购
我的供货
快速发布求购
联系我们
English
前往化源商城
文献检索
官能团搜索
结构式搜索
搜索
供应商:
我要出现这里
暂无推荐供应商。
我要出现这里
相关CAS号:
305-97-5
2193051-96-4
2193064-35-4
2770597-82-3
2193059-28-6
914358-27-3
2228024-95-9
2770601-57-3
2770615-42-2
2227702-63-6
2227695-98-7
305-97-5
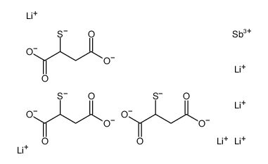
305-97-5结构式
常用中文名:
安锑锂明
常用英文名:
anthiolimine
CAS号:
305-97-5
分子式:
C
12
H
9
Li
6
O
12
S
3
Sb
分子量:
604.79400
发布时间:
2018-03-14 08:00:00
更新时间:
2025-09-18 13:47:36
化源商城直购
名称
物化性质
中文名
安锑锂明
英文名
Hexalithium 2,2',2''-(stibinetriyltrisulfanediyl)trisuccinate
沸点
256.3ºC at 760mmHg
分子式
C
12
H
9
Li
6
O
12
S
3
Sb
分子量
604.79400
闪点
108.8ºC
精确质量
603.92500
PSA
240.78000
本网页内容来自不同专业数据源,如对内容有疑义,欢迎联系service1@chemsrc.com。
【305-97-5】化源网提供CAS号/CAS登录号305-97-5,CAS No.:305-97-5的msds、结构式、性质、英文名、生产厂家、作用/用途、分子式/化学式、密度、沸点、熔点等。CAS号查询305-97-5上化源网,专业又轻松。
标题:305-97-5_CAS号:305-97-5_CAS No.:305-97-5 - 化源网 地址:https://www.chemsrc.com/baike/457881.html
×
详细合成路线
×
退出
×
登录
用户名:
密 码: