cas号查询
登录
注册
化源商城
首页
我的化源
个人信息
我的求购
我的供货
快速发布求购
联系我们
English
前往化源商城
文献检索
官能团搜索
结构式搜索
搜索
供应商:
我要出现这里
暂无推荐供应商。
我要出现这里
相关CAS号:
10141-05-6
19154-72-4
13600-98-1
13782-01-9
10026-22-9
15878-77-0
10325-94-7
13126-12-0
10099-59-9
10277-43-7
1894844-46-2
1892459-24-3
1895314-83-6
1896703-91-5
1893826-05-5
1896796-99-8
1895314-91-6
1890079-80-7
1889765-62-1
60893-70-1
19154-72-4
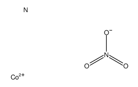
19154-72-4结构式
常用中文名:
硝酸钴
常用英文名:
COBALT NITRATE
CAS号:
19154-72-4
分子式:
CoN
2
O
6
分子量:
182.94300
发布时间:
2018-07-22 20:07:41
更新时间:
2025-08-26 09:01:52
化源商城直购
名称
物化性质
安全
海关
中文名
硝酸钴
英文名
Cobalt(2+) dinitrate
分子式
CoN
2
O
6
分子量
182.94300
精确质量
182.90900
PSA
137.76000
LogP
0.56820
海关编码
2834291000
海关编码
2834291000
本网页内容来自不同专业数据源,如对内容有疑义,欢迎联系service1@chemsrc.com。
【19154-72-4】化源网提供CAS号/CAS登录号19154-72-4,CAS No.:19154-72-4的msds、结构式、性质、英文名、生产厂家、作用/用途、分子式/化学式、密度、沸点、熔点等。CAS号查询19154-72-4上化源网,专业又轻松。
标题:19154-72-4_CAS号:19154-72-4_CAS No.:19154-72-4 - 化源网 地址:https://www.chemsrc.com/baike/179117.html
×
详细合成路线
×
退出
×
登录
用户名:
密 码: