前往化源商城

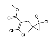
methyl 2-[(1-methyl-2,2-dichlorocyclopropyl)methyl]-3,3-dichloropropenoate

更新时间:2025-08-26 16:27:47

methyl 2-[(1-methyl-2,2-dichlorocyclopropyl)methyl]-3,3-dichloropropenoate结构式
methyl 2-[(1-methyl-2,2-dichlorocyclopropyl)methyl]-3,3-dichloropropenoate结构式
委托求购
常用名 methyl 2-[(1-methyl-2,2-dichlorocyclopropyl)methyl]-3,3-dichloropropenoate 英文名 methyl 2-[(1-methyl-2,2-dichlorocyclopropyl)methyl]-3,3-dichloropropenoate
CAS号 83249-00-7 分子量 291.98700
密度 N/A 沸点 N/A
分子式 C9H10Cl4O2 熔点 N/A
MSDS N/A 闪点 N/A

 名称

英文名 methyl 2-[(1-methyl-2,2-dichlorocyclopropyl)methyl]-3,3-dichloropropenoate

 物理化学性质

分子式 C9H10Cl4O2
分子量 291.98700
精确质量 289.94300
PSA 26.30000
LogP 3.82260
本网页内容来自不同专业数据源,如对内容有疑义,欢迎联系service1@chemsrc.com。