前往化源商城

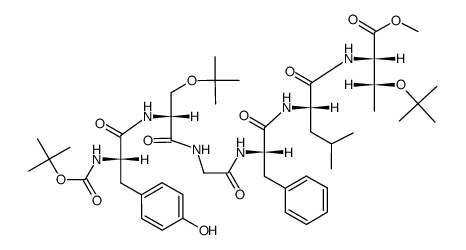
N-(tert-butyloxycarbonyl)-L-tyrosyl-O-tert-butyl-D-serylglycyl-L-phenylalanyl-L-leucyl-O-tert-butyl-L-threonine methyl ester

更新时间:2025-09-23 00:09:50

N-(tert-butyloxycarbonyl)-L-tyrosyl-O-tert-butyl-D-serylglycyl-L-phenylalanyl-L-leucyl-O-tert-butyl-L-threonine methyl ester结构式
N-(tert-butyloxycarbonyl)-L-tyrosyl-O-tert-butyl-D-serylglycyl-L-phenylalanyl-L-leucyl-O-tert-butyl-L-threonine methyl ester结构式
委托求购
常用名 N-(tert-butyloxycarbonyl)-L-tyrosyl-O-tert-butyl-D-serylglycyl-L-phenylalanyl-L-leucyl-O-tert-butyl-L-threonine methyl ester 英文名 N-(tert-butyloxycarbonyl)-L-tyrosyl-O-tert-butyl-D-serylglycyl-L-phenylalanyl-L-leucyl-O-tert-butyl-L-threonine methyl ester
CAS号 78537-17-4 分子量 913.10800
密度 N/A 沸点 N/A
分子式 C47H72N6O12 熔点 N/A
MSDS N/A 闪点 N/A

 名称

英文名 N-(tert-butyloxycarbonyl)-L-tyrosyl-O-tert-butyl-D-serylglycyl-L-phenylalanyl-L-leucyl-O-tert-butyl-L-threonine methyl ester

 物理化学性质

分子式 C47H72N6O12
分子量 913.10800
精确质量 912.52100
PSA 248.82000
LogP 5.70930

 上下游产品

上游产品  0

下游产品  1

本网页内容来自不同专业数据源,如对内容有疑义,欢迎联系service1@chemsrc.com。