前往化源商城

bis[2-(hydroxymethylethoxy)methylethyl] [2-(hydroxymethylethoxy)methylethylphosphonate

更新时间:2025-09-18 17:04:36

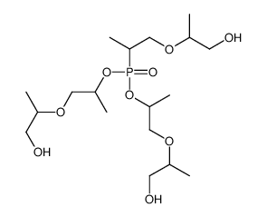
bis[2-(hydroxymethylethoxy)methylethyl] [2-(hydroxymethylethoxy)methylethylphosphonate结构式
bis[2-(hydroxymethylethoxy)methylethyl] [2-(hydroxymethylethoxy)methylethylphosphonate结构式
委托求购
常用名 bis[2-(hydroxymethylethoxy)methylethyl] [2-(hydroxymethylethoxy)methylethylphosphonate 英文名 bis[2-(hydroxymethylethoxy)methylethyl] [2-(hydroxymethylethoxy)methylethylphosphonate
CAS号 71617-26-0 分子量 430.47100
密度 N/A 沸点 N/A
分子式 C18H39O9P 熔点 N/A
MSDS N/A 闪点 N/A

 名称

英文名 2-[2-[1-(1-hydroxypropan-2-yloxy)propan-2-yl-[1-(1-hydroxypropan-2-yloxy)propan-2-yloxy]phosphoryl]oxypropoxy]propan-1-ol
英文别名 更多

 物理化学性质

分子式 C18H39O9P
分子量 430.47100
精确质量 430.23300
PSA 133.72000
LogP 1.57040
InChIKey CFZGAJPITMFUBL-UHFFFAOYSA-N
SMILES CC(CO)OCC(C)OP(=O)(OC(C)COC(C)CO)C(C)COC(C)CO

 英文别名

Bis(2-(hydroxymethyl)ethoxy)methylethyl) (2-(hydroxymethylethoxy)methylethylphosphonate
EINECS 275-719-8
本网页内容来自不同专业数据源,如对内容有疑义,欢迎联系service1@chemsrc.com。