前往化源商城

2-[[2-[bis(carboxymethyl)amino]-2-[4-(hexadecanoylamino)phenyl]ethyl]-(carboxymethyl)amino]acetic acid

更新时间:2025-09-19 20:27:37

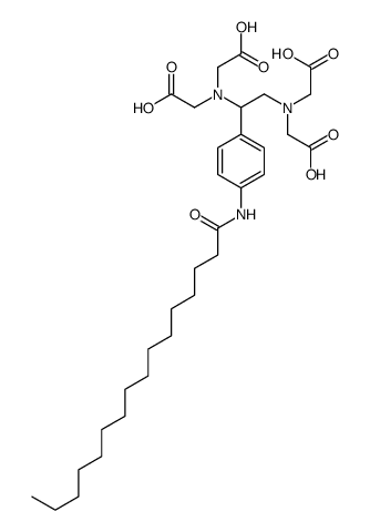
2-[[2-[bis(carboxymethyl)amino]-2-[4-(hexadecanoylamino)phenyl]ethyl]-(carboxymethyl)amino]acetic acid结构式
2-[[2-[bis(carboxymethyl)amino]-2-[4-(hexadecanoylamino)phenyl]ethyl]-(carboxymethyl)amino]acetic acid结构式
委托求购
常用名 2-[[2-[bis(carboxymethyl)amino]-2-[4-(hexadecanoylamino)phenyl]ethyl]-(carboxymethyl)amino]acetic acid 英文名 2-[[2-[bis(carboxymethyl)amino]-2-[4-(hexadecanoylamino)phenyl]ethyl]-(carboxymethyl)amino]acetic acid
CAS号 71510-13-9 分子量 621.76200
密度 1.213g/cm3 沸点 840.5ºC at 760 mmHg
分子式 C32H51N3O9 熔点 N/A
MSDS N/A 闪点 462.1ºC

 名称

英文名 2-[[2-[bis(carboxymethyl)amino]-2-[4-(hexadecanoylamino)phenyl]ethyl]-(carboxymethyl)amino]acetic acid
英文别名 更多

 物理化学性质

密度 1.213g/cm3
沸点 840.5ºC at 760 mmHg
分子式 C32H51N3O9
分子量 621.76200
闪点 462.1ºC
精确质量 621.36300
PSA 184.78000
LogP 5.16290
折射率 1.56

 英文别名

1-(4-(Palmitamido)phenyl)ethylenedinitrilo-tetraacetic acid
1-(p-(Palmitamido)phenyl)edta
2,2',2'',2'''-({1-[4-(hexadecanoylamino)phenyl]ethane-1,2-diyl}dinitrilo)tetraacetic acid
1-(4-(Palmitamido)phenyl)edta
本网页内容来自不同专业数据源,如对内容有疑义,欢迎联系service1@chemsrc.com。