前往化源商城

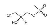
(R)-3-mesyloxy-2-hydroxy-1-chloropropane

更新时间:2025-09-17 17:29:54

(R)-3-mesyloxy-2-hydroxy-1-chloropropane结构式
(R)-3-mesyloxy-2-hydroxy-1-chloropropane结构式
委托求购
常用名 (R)-3-mesyloxy-2-hydroxy-1-chloropropane 英文名 (R)-3-mesyloxy-2-hydroxy-1-chloropropane
CAS号 67800-63-9 分子量 188.63000
密度 N/A 沸点 N/A
分子式 C4H9ClO4S 熔点 N/A
MSDS N/A 闪点 N/A

 (R)-3-mesyloxy-2-hydroxy-1-chloropropane名称

英文名 (R)-3-mesyloxy-2-hydroxy-1-chloropropane
英文别名 更多

 (R)-3-mesyloxy-2-hydroxy-1-chloropropane物理化学性质

分子式 C4H9ClO4S
分子量 188.63000
精确质量 187.99100
PSA 71.98000
LogP 0.64310

 (R)-3-mesyloxy-2-hydroxy-1-chloropropane英文别名

Methanesulfonic acid (R)-3-chloro-2-hydroxy-propyl ester
本网页内容来自不同专业数据源,如对内容有疑义,欢迎联系service1@chemsrc.com。
品牌现货直购

暂无推荐供应商。我要出现这里

相关化合物: 更多...
(R)-3-(2-Hydroxy-ethylsulfanyl)-pyrrolidine-1-carboxylic acid benzyl ester
1354002-51-9
(R)-3-(2-Hydroxy-ethylsulfanyl)-piperidine-1-carboxylic acid benzyl ester
1353993-13-1
(R)-3,3,3-trifluoro-N-((S)-2-hydroxy-1,2,2-triphenylethyl)-2-methoxy-2-phenylpropanamide
1044204-72-9
[R-(R*,S*)]-3-[(2-hydroxy-1-methyl-2-phenylethyl)amino]-3'-methoxypropiophenone hydrochloride
16777-42-7
[R(R*,S*)]-3-[(2-hydroxy-1-methyl-2-phenylethyl)methylamino]propiononitrile monohydrochloride
40658-23-9
(R)-1-(2,6-diethylphenyl)-3-(2-hydroxy-1-phenylethyl)-4,5-dihydro-1H-imidazol-3-ium
1630817-20-7
[R-(R*,S*)]-1-cyclohexyl-3-[(2-hydroxy-1-methyl-2-phenylethyl)amino]propan-1-one hydrochloride
72913-80-5
(R)-3-(2-hydroxy-3-methylbutyl)-4,8-dimethoxyquinolin-2(1H)-one
160024-36-2
clavem
85657-59-6
(R)-1-(pyrazin-2-yl)-2-(pyrrolidin-3-yloxy)ethanone hydrochloride
1421009-92-8
(R)-2-(pyrrolidin-3-yloxy)-1-(thiazol-2-yl)ethanone hydrochloride
1421040-21-2
2-(3-Bromo-5-iodophenyl)ethanamine
1393569-71-5
(S)-2-(piperidin-3-yloxy)-1-(1H-pyrrol-2-yl)ethanone hydrochloride
1421034-54-9
(S)-1-(furan-2-yl)-2-(piperidin-3-yloxy)ethanone hydrochloride
1421033-08-0
(S)-2-(piperidin-3-yloxy)-1-(pyridin-2-yl)ethanone hydrochloride
1421019-41-1
(S)-2-(piperidin-3-yloxy)-1-(pyrazin-2-yl)ethanone hydrochloride
1421042-71-8
(S)-4-hydroxy-4-(6-methoxynaphthalen-2-yl)butan-2-one
287728-41-0
(S)-2-(piperidin-3-yloxy)-1-(thiazol-2-yl)ethanone hydrochloride
1421027-85-1
(S)-1-(1H-pyrrol-2-yl)-2-(pyrrolidin-3-yloxy)ethanone hydrochloride
1421040-45-0