前往化源商城

(2S)-2-[[(2S)-2-[[(2S)-2-[[(2S)-2-[[(2S)-2-acetamido-3-methylbutanoyl]amino]-3-methylbutanoyl]amino]-3-hydroxypropanoyl]amino]-3-methylbutanoyl]amino]-3-methylbutanamide

更新时间:2024-09-18 19:58:57

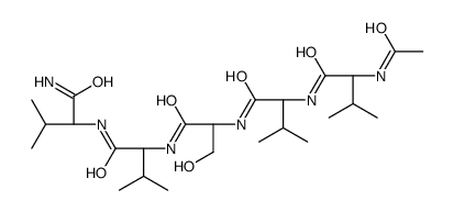
(2S)-2-[[(2S)-2-[[(2S)-2-[[(2S)-2-[[(2S)-2-acetamido-3-methylbutanoyl]amino]-3-methylbutanoyl]amino]-3-hydroxypropanoyl]amino]-3-methylbutanoyl]amino]-3-methylbutanamide结构式
(2S)-2-[[(2S)-2-[[(2S)-2-[[(2S)-2-[[(2S)-2-acetamido-3-methylbutanoyl]amino]-3-methylbutanoyl]amino]-3-hydroxypropanoyl]amino]-3-methylbutanoyl]amino]-3-methylbutanamide结构式
委托求购
常用名 (2S)-2-[[(2S)-2-[[(2S)-2-[[(2S)-2-[[(2S)-2-acetamido-3-methylbutanoyl]amino]-3-methylbutanoyl]amino]-3-hydroxypropanoyl]amino]-3-methylbutanoyl]amino]-3-methylbutanamide 英文名 (2S)-2-[[(2S)-2-[[(2S)-2-[[(2S)-2-[[(2S)-2-acetamido-3-methylbutanoyl]amino]-3-methylbutanoyl]amino]-3-hydroxypropanoyl]amino]-3-methylbutanoyl]amino]-3-methylbutanamide
CAS号 675145-18-3 分子量 542.66900
密度 N/A 沸点 N/A
分子式 C25H46N6O7 熔点 N/A
MSDS N/A 闪点 N/A

 名称

英文名 (2S)-2-[[(2S)-2-[[(2S)-2-[[(2S)-2-[[(2S)-2-acetamido-3-methylbutanoyl]amino]-3-methylbutanoyl]amino]-3-hydroxypropanoyl]amino]-3-methylbutanoyl]amino]-3-methylbutanamide
英文别名 更多

 物理化学性质

分子式 C25H46N6O7
分子量 542.66900
精确质量 542.34300
PSA 227.26000
LogP 3.88310

 英文别名

L-Valinamide,N-acetyl-L-valyl-L-valyl-L-seryl-L-valyl
本网页内容来自不同专业数据源,如对内容有疑义,欢迎联系service1@chemsrc.com。