前往化源商城

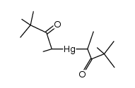
bis(4,4-dimethyl-3-oxopentan-2-yl)mercury

更新时间:2025-09-30 17:47:25

bis(4,4-dimethyl-3-oxopentan-2-yl)mercury结构式
bis(4,4-dimethyl-3-oxopentan-2-yl)mercury结构式
委托求购
常用名 bis(4,4-dimethyl-3-oxopentan-2-yl)mercury 英文名 bis(4,4-dimethyl-3-oxopentan-2-yl)mercury
CAS号 62942-42-1 分子量 426.94500
密度 N/A 沸点 N/A
分子式 C14H26HgO2 熔点 N/A
MSDS N/A 闪点 N/A

 名称

英文名 bis(4,4-dimethyl-3-oxopentan-2-yl)mercury

 物理化学性质

分子式 C14H26HgO2
分子量 426.94500
精确质量 428.16400
PSA 34.14000
LogP 3.91610
本网页内容来自不同专业数据源,如对内容有疑义,欢迎联系service1@chemsrc.com。