前往化源商城

4-O-Methyldebenzoylpaeoniflorin

更新时间:2024-02-22 06:26:47

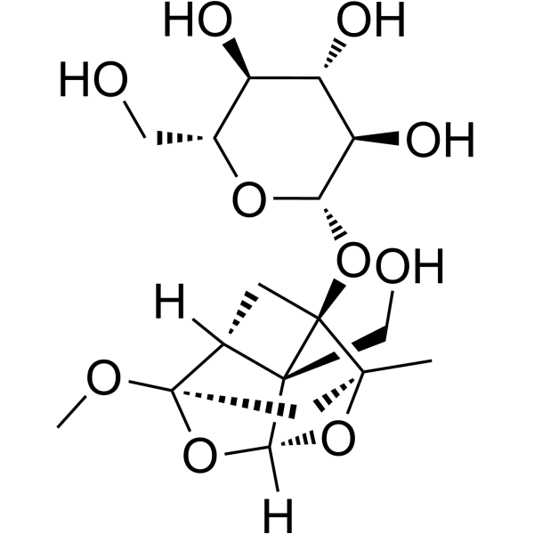
4-O-Methyldebenzoylpaeoniflorin结构式
4-O-Methyldebenzoylpaeoniflorin结构式
品牌特惠专场
常用名 4-O-Methyldebenzoylpaeoniflorin 英文名 4-O-Methyldebenzoylpaeoniflorin
CAS号 39712-18-0 分子量 390.38
密度 N/A 沸点 N/A
分子式 C17H26O10 熔点 N/A
MSDS N/A 闪点 N/A

 4-O-Methyldebenzoylpaeoniflorin用途


4-O-甲基二苯甲酰基芍药苷是一种天然产物,可从芍药中分离出来[1]。

 4-O-Methyldebenzoylpaeoniflorin名称

英文名 4-O-Methyldebenzoylpaeoniflorin

 4-O-Methyldebenzoylpaeoniflorin生物活性

描述 4-O-甲基二苯甲酰基芍药苷是一种天然产物,可从芍药中分离出来[1]。
相关类别
参考文献

[1]. Duan WJ, et al. Monoterpenes from Paeonia albiflora and their inhibitory activity on nitric oxide production by lipopolysaccharide-activated microglia. J Nat Prod. 2009 Sep;72(9):1579-84.  

 4-O-Methyldebenzoylpaeoniflorin物理化学性质

分子式 C17H26O10
分子量 390.38
本网页内容来自不同专业数据源,如对内容有疑义,欢迎联系service1@chemsrc.com。