前往化源商城

stevastelin B

更新时间:2025-08-26 07:03:23

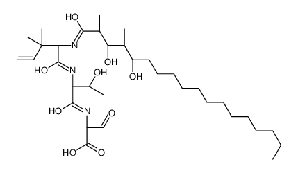
stevastelin B结构式
stevastelin B结构式
委托求购
常用名 stevastelin B 英文名 stevastelin B
CAS号 147334-89-2 分子量 655.86300
密度 1.111g/cm3 沸点 895.4ºC at 760mmHg
分子式 C34H61N3O9 熔点 N/A
MSDS N/A 闪点 495.3ºC

 stevastelin B名称

英文名 (2S)-2-[[(2S,3R)-2-[[(2S)-2-[[(2R,3R,4R,5R)-3,5-dihydroxy-2,4-dimethyloctadecanoyl]amino]-3,3-dimethylpent-4-enoyl]amino]-3-hydroxybutanoyl]amino]-3-oxopropanoic acid
英文别名 更多

 stevastelin B物理化学性质

密度 1.111g/cm3
沸点 895.4ºC at 760mmHg
分子式 C34H61N3O9
分子量 655.86300
闪点 495.3ºC
精确质量 655.44100
PSA 212.83000
LogP 5.53330
蒸汽压 0mmHg at 25°C
折射率 1.508

 stevastelin B英文别名

Stevastelin B
本网页内容来自不同专业数据源,如对内容有疑义,欢迎联系service1@chemsrc.com。