前往化源商城

N-(2-Hydroxyethyl)-N-(2-hydroxypropyl)-N,N-dimethyl ammonium 2-ethylhexanoate

更新时间:2025-09-13 12:11:43

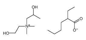
N-(2-Hydroxyethyl)-N-(2-hydroxypropyl)-N,N-dimethyl ammonium 2-ethylhexanoate结构式
N-(2-Hydroxyethyl)-N-(2-hydroxypropyl)-N,N-dimethyl ammonium 2-ethylhexanoate结构式
委托求购
常用名 N-(2-Hydroxyethyl)-N-(2-hydroxypropyl)-N,N-dimethyl ammonium 2-ethylhexanoate 英文名 N-(2-Hydroxyethyl)-N-(2-hydroxypropyl)-N,N-dimethyl ammonium 2-ethylhexanoate
CAS号 103969-80-8 分子量 291.42700
密度 N/A 沸点 N/A
分子式 C15H33NO4 熔点 N/A
MSDS N/A 闪点 N/A

 名称

英文名 2-ethylhexanoate,2-hydroxyethyl-(2-hydroxypropyl)-dimethylazanium

 物理化学性质

分子式 C15H33NO4
分子量 291.42700
精确质量 291.24100
PSA 80.59000
LogP 0.38860
本网页内容来自不同专业数据源,如对内容有疑义,欢迎联系service1@chemsrc.com。