前往化源商城

N2-(4-Fluoro-benzyl)-6-(4-fluoro-phenyl)-N4-(2,2,2-trifluoro-ethyl)-pteridine-2,4-diamine

更新时间:2024-09-15 13:11:48

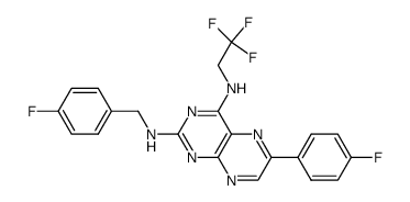
N2-(4-Fluoro-benzyl)-6-(4-fluoro-phenyl)-N4-(2,2,2-trifluoro-ethyl)-pteridine-2,4-diamine结构式
N2-(4-Fluoro-benzyl)-6-(4-fluoro-phenyl)-N4-(2,2,2-trifluoro-ethyl)-pteridine-2,4-diamine结构式
委托求购
常用名 N2-(4-Fluoro-benzyl)-6-(4-fluoro-phenyl)-N4-(2,2,2-trifluoro-ethyl)-pteridine-2,4-diamine 英文名 N2-(4-Fluoro-benzyl)-6-(4-fluoro-phenyl)-N4-(2,2,2-trifluoro-ethyl)-pteridine-2,4-diamine
CAS号 1000880-35-2 分子量 446.37600
密度 N/A 沸点 N/A
分子式 C21H15F5N6 熔点 N/A
MSDS N/A 闪点 N/A

 名称

英文名 N2-(4-Fluoro-benzyl)-6-(4-fluoro-phenyl)-N4-(2,2,2-trifluoro-ethyl)-pteridine-2,4-diamine

 物理化学性质

分子式 C21H15F5N6
分子量 446.37600
精确质量 446.12800
PSA 75.62000
LogP 5.09730
本网页内容来自不同专业数据源,如对内容有疑义,欢迎联系service1@chemsrc.com。