cas号查询
登录
注册
化源商城
首页
我的化源
个人信息
我的求购
我的供货
快速发布求购
联系我们
English
前往化源商城
文献检索
官能团搜索
结构式搜索
搜索
供应商:
我要出现这里
暂无推荐供应商。
我要出现这里
相关CAS号:
1289150-97-5
1289098-74-3
1393531-78-6
1393551-81-9
1393576-09-4
1289075-11-1
1393569-96-4
1393531-82-2
1393531-84-4
1393551-98-8
54909-56-7
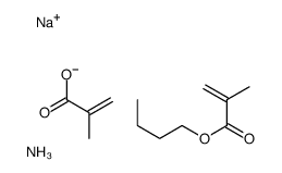
54909-56-7结构式
常用中文名:
sodium,azane,butyl 2-methylprop-2-enoate,2-methylprop-2-enoate
常用英文名:
sodium,azane,butyl 2-methylprop-2-enoate,2-methylprop-2-enoate
CAS号:
54909-56-7
分子式:
C
12
H
22
NNaO
4
分子量:
267.29700
发布时间:
2016-06-15 03:49:17
更新时间:
2025-09-13 17:33:44
化源商城直购
名称
物化性质
英文名
sodium,azane,butyl 2-methylprop-2-enoate,2-methylprop-2-enoate
英文别名
2-Propenoic acid,2-methyl-,polymer with butyl 2-methyl-2-propenoate,ammonium sodium salt
分子式
C
12
H
22
NNaO
4
分子量
267.29700
精确质量
267.14500
PSA
69.67000
LogP
1.54210
本网页内容来自不同专业数据源,如对内容有疑义,欢迎联系service1@chemsrc.com。
【54909-56-7】化源网提供CAS号/CAS登录号54909-56-7,CAS No.:54909-56-7的msds、结构式、性质、英文名、生产厂家、作用/用途、分子式/化学式、密度、沸点、熔点等。CAS号查询54909-56-7上化源网,专业又轻松。
标题:54909-56-7_CAS号:54909-56-7_CAS No.:54909-56-7 - 化源网 地址:https://www.chemsrc.com/baike/936236.html
×
详细合成路线
×
退出
×
登录
用户名:
密 码: