cas号查询
登录
注册
化源商城
首页
我的化源
个人信息
我的求购
我的供货
快速发布求购
联系我们
English
前往化源商城
文献检索
官能团搜索
结构式搜索
搜索
供应商:
我要出现这里
暂无推荐供应商。
我要出现这里
相关CAS号:
873055-78-8
873055-79-9
873055-88-0
22991-42-0
873056-31-6
873056-32-7
873056-36-1
873056-37-2
87239-88-1
873051-73-1
1352925-66-6
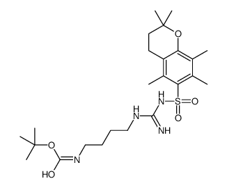
1352925-66-6结构式
常用中文名:
tert-butyl N-[4-[[amino-[(2,2,5,7,8-pentamethyl-3,4-dihydrochromen-6-yl)sulfonylamino]methylidene]amino]butyl]carbamate
常用英文名:
tert-butyl N-[4-[[amino-[(2,2,5,7,8-pentamethyl-3,4-dihydrochromen-6-yl)sulfonylamino]methylidene]amino]butyl]carbamate
CAS号:
1352925-66-6
分子式:
C
24
H
40
N
4
O
5
S
分子量:
496.66300
发布时间:
2017-11-09 20:52:25
更新时间:
2024-09-11 18:06:21
化源商城直购
名称
物化性质
英文名
tert-butyl N-[4-[[amino-[(2,2,5,7,8-pentamethyl-3,4-dihydrochromen-6-yl)sulfonylamino]methylidene]amino]butyl]carbamate
分子式
C
24
H
40
N
4
O
5
S
分子量
496.66300
精确质量
496.27200
PSA
141.48000
LogP
5.98970
本网页内容来自不同专业数据源,如对内容有疑义,欢迎联系service1@chemsrc.com。
【1352925-66-6】化源网提供CAS号/CAS登录号1352925-66-6,CAS No.:1352925-66-6的msds、结构式、性质、英文名、生产厂家、作用/用途、分子式/化学式、密度、沸点、熔点等。CAS号查询1352925-66-6上化源网,专业又轻松。
标题:1352925-66-6_CAS号:1352925-66-6_CAS No.:1352925-66-6 - 化源网 地址:https://www.chemsrc.com/baike/688624.html
×
详细合成路线
×
退出
×
登录
用户名:
密 码: