前往化源商城

156129-73-6

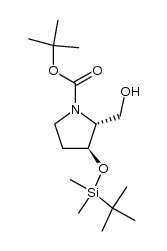
156129-73-6结构式
156129-73-6结构式

化源商城直购

英文名 tert-butyl (2R,3S)-3-{[tert-butyl(dimethyl)silyl]oxy}-2-(hydroxymethyl)pyrrolidine-1-carboxylate
英文别名 tert-butyl (2R,3S)-3-(tert-butyldimethylsiloxy)-2-(hydroxymethyl)pyrrolidine-1-carboxylate
1,1-dimethylethyl (2R,3S)-3-{[(1,1-dimethylethyl)(dimethyl)silyl]oxy}-2-(hydroxymethyl)-1-pyrrolidinecarboxylate
(2R,3S)-3-(tert-butyldimethylsilyloxy)-1-(tert-butyloxycarbonyl)-2-(hydroxymethyl)pyrrolidine
(2R,3S)-1-tert-butoxycarbonyl-3-tert-butyldimethylsilyloxy-2-hydroxymethyl-pyrrolidine
(2S,3S)-N-tert-butyloxycarbonyl-3-(tert-butyldimethylsilyloxy)-2-(hydroxymethyl)pyrrolidine
(2R,3S)-3-(tert-butyldimethylsilanyloxy)-2-hydroxymethylpyrrolidine-1-carboxylic acid tert-butyl ester
分子式 C16H33NO4Si
分子量 331.52300
精确质量 331.21800
PSA 59.00000
LogP 3.31640
上游产品  0

下游产品  1

本网页内容来自不同专业数据源,如对内容有疑义,欢迎联系service1@chemsrc.com。