前往化源商城

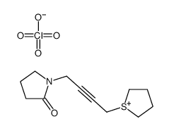
110826-54-5

110826-54-5结构式
110826-54-5结构式

化源商城直购

英文名 1-[4-(thiolan-1-ium-1-yl)but-2-ynyl]pyrrolidin-2-one,perchlorate
英文别名 1-(4-(2-Oxo-1-pyrrolidinyl)-2-butynyl)tetrahydrothiophenium perchlorate
Thiophenium,tetrahydro-1-(4-(2-oxo-1-pyrrolidinyl)-2-butynyl)-,perchlorate
1-[4-(thiolan-1-ium-1-yl)but-2-ynyl]pyrrolidin-2-one perchlorate
(4-(2-Oxopyrrolidinyl)-2-butynyl)thiolanium perchlorate
分子式 C12H18ClNO5S
分子量 323.79300
精确质量 323.05900
PSA 119.88000
LogP 1.17650
本网页内容来自不同专业数据源,如对内容有疑义,欢迎联系service1@chemsrc.com。