cas号查询
登录
注册
化源商城
首页
我的化源
个人信息
我的求购
我的供货
快速发布求购
联系我们
English
前往化源商城
文献检索
官能团搜索
结构式搜索
搜索
供应商:
我要出现这里
暂无推荐供应商。
我要出现这里
相关CAS号:
2138125-56-9
2137830-17-0
1824259-35-9
2138256-46-7
2137830-39-6
2137741-56-9
2138261-07-9
2138177-27-0
2137625-69-3
2137769-02-7
55630-06-3
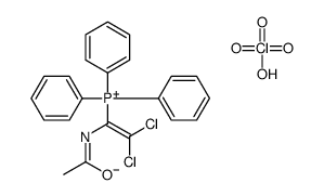
55630-06-3结构式
常用中文名:
(1-acetamido-2,2-dichloroethenyl)-triphenylphosphanium,perchlorate
常用英文名:
(1-acetamido-2,2-dichloroethenyl)-triphenylphosphanium,perchlorate
CAS号:
55630-06-3
分子式:
C
22
H
19
Cl
3
NO
5
P
分子量:
514.72300
发布时间:
2017-02-12 15:34:21
更新时间:
2025-12-23 16:55:17
化源商城直购
名称
物化性质
英文名
(1-acetamido-2,2-dichloroethenyl)-triphenylphosphanium,perchlorate
分子式
C
22
H
19
Cl
3
NO
5
P
分子量
514.72300
精确质量
513.00700
PSA
120.45000
LogP
5.58990
本网页内容来自不同专业数据源,如对内容有疑义,欢迎联系service1@chemsrc.com。
【55630-06-3】化源网提供CAS号/CAS登录号55630-06-3,CAS No.:55630-06-3的msds、结构式、性质、英文名、生产厂家、作用/用途、分子式/化学式、密度、沸点、熔点等。CAS号查询55630-06-3上化源网,专业又轻松。
标题:55630-06-3_CAS号:55630-06-3_CAS No.:55630-06-3 - 化源网 地址:https://www.chemsrc.com/baike/376216.html
×
详细合成路线
×
退出
×
登录
用户名:
密 码: