前往化源商城

27154-44-5

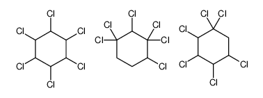
27154-44-5结构式
27154-44-5结构式

化源商城直购

英文名 1,1,2,3,3,4-hexachlorocyclohexane,1,1,2,3,4,5-hexachlorocyclohexane,1,2,3,4,5,6-hexachlorocyclohexane
英文别名 1,1,2,3,3,4-hexachlorocyclohexane
1,1,2,3,4,5-hexachlorocyclohexane
Cyclohexane,hexachloro
沸点 288ºC at 760mmHg
分子式 C18H18Cl18
分子量 872.49000
闪点 157.5ºC
精确质量 863.58000
LogP 11.98080
折射率 1.532
本网页内容来自不同专业数据源,如对内容有疑义,欢迎联系service1@chemsrc.com。