cas号查询
登录
注册
化源商城
首页
我的化源
个人信息
我的求购
我的供货
快速发布求购
联系我们
English
前往化源商城
文献检索
官能团搜索
结构式搜索
搜索
供应商:
我要出现这里
暂无推荐供应商。
我要出现这里
相关CAS号:
66469-80-5
66381-51-9
899941-13-0
900005-15-4
923069-73-2
941966-17-2
899732-70-8
941924-71-6
941877-57-2
942002-66-6
51293-82-4
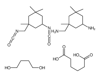
51293-82-4结构式
常用中文名:
3-(aminomethyl)-3,5,5-trimethylcyclohexan-1-amine,butane-1,4-diol,hexanedioic acid,5-isocyanato-1-(isocyanatomethyl)-1,3,3-trimethylcyclohexane
常用英文名:
3-(aminomethyl)-3,5,5-trimethylcyclohexan-1-amine,butane-1,4-diol,hexanedioic acid,5-isocyanato-1-(isocyanatomethyl)-1,3,3-trimethylcyclohexane
CAS号:
51293-82-4
分子式:
C
32
H
60
N
4
O
8
分子量:
628.84100
发布时间:
2016-08-23 23:57:01
更新时间:
2024-02-09 17:27:44
化源商城直购
名称
物化性质
英文名
3-(aminomethyl)-3,5,5-trimethylcyclohexan-1-amine,butane-1,4-diol,hexanedioic acid,5-isocyanato-1-(isocyanatomethyl)-1,3,3-trimethylcyclohexane
沸点
286.9ºC at 760mmHg
分子式
C
32
H
60
N
4
O
8
分子量
628.84100
闪点
116ºC
精确质量
628.44100
PSA
225.96000
LogP
5.59960
本网页内容来自不同专业数据源,如对内容有疑义,欢迎联系service1@chemsrc.com。
【51293-82-4】化源网提供CAS号/CAS登录号51293-82-4,CAS No.:51293-82-4的msds、结构式、性质、英文名、生产厂家、作用/用途、分子式/化学式、密度、沸点、熔点等。CAS号查询51293-82-4上化源网,专业又轻松。
标题:51293-82-4_CAS号:51293-82-4_CAS No.:51293-82-4 - 化源网 地址:https://www.chemsrc.com/baike/147659.html
×
详细合成路线
×
退出
×
登录
用户名:
密 码: