cas号查询
登录
注册
化源商城
首页
我的化源
个人信息
我的求购
我的供货
快速发布求购
联系我们
English
前往化源商城
文献检索
官能团搜索
结构式搜索
搜索
供应商:
我要出现这里
暂无推荐供应商。
我要出现这里
相关CAS号:
15732-42-0
1314915-22-4
1330756-22-3
1358422-21-5
2803901-40-6
1358422-28-2
1357951-42-8
1358252-10-4
1270341-34-8
1359396-23-8
1002114-43-3
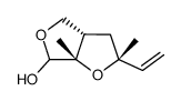
1002114-43-3结构式
常用中文名:
(2R,3aS,6aS)-2,6a-dimethyl-2-vinyl-hexahydrofuro[3,4-b]furan-6-ol
常用英文名:
(2R,3aS,6aS)-2,6a-dimethyl-2-vinyl-hexahydrofuro[3,4-b]furan-6-ol
CAS号:
1002114-43-3
分子式:
C
10
H
16
O
3
分子量:
184.23200
发布时间:
2018-06-15 09:33:09
更新时间:
2024-04-02 16:24:59
化源商城直购
名称
物化性质
英文名
(2R,3aS,6aS)-2,6a-dimethyl-2-vinyl-hexahydrofuro[3,4-b]furan-6-ol
分子式
C
10
H
16
O
3
分子量
184.23200
精确质量
184.11000
PSA
38.69000
LogP
1.07490
本网页内容来自不同专业数据源,如对内容有疑义,欢迎联系service1@chemsrc.com。
【1002114-43-3】化源网提供CAS号/CAS登录号1002114-43-3,CAS No.:1002114-43-3的msds、结构式、性质、英文名、生产厂家、作用/用途、分子式/化学式、密度、沸点、熔点等。CAS号查询1002114-43-3上化源网,专业又轻松。
标题:1002114-43-3_CAS号:1002114-43-3_CAS No.:1002114-43-3 - 化源网 地址:https://www.chemsrc.com/baike/1425859.html
×
详细合成路线
×
退出
×
登录
用户名:
密 码: