前往化源商城

90315-47-2


化源商城直购

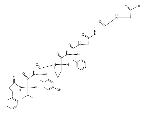
英文名 (2-{2-[(S)-2-({(S)-1-[(S)-2-((S)-2-Benzyloxycarbonylamino-3-methyl-butyrylamino)-3-(4-hydroxy-phenyl)-propionyl]-pyrrolidine-2-carbonyl}-amino)-3-phenyl-propionylamino]-acetylamino}-acetylamino)-acetic acid
分子式 C42H51N7O11
分子量 829.89500
精确质量 829.36500
PSA 261.67000
LogP 2.80550
本网页内容来自不同专业数据源,如对内容有疑义,欢迎联系service1@chemsrc.com。