前往化源商城

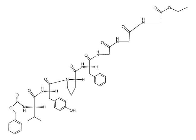
90315-46-1


化源商城直购

英文名 (2-{2-[(S)-2-({(S)-1-[(S)-2-((S)-2-Benzyloxycarbonylamino-3-methyl-butyrylamino)-3-(4-hydroxy-phenyl)-propionyl]-pyrrolidine-2-carbonyl}-amino)-3-phenyl-propionylamino]-acetylamino}-acetylamino)-acetic acid ethyl ester
分子式 C44H55N7O11
分子量 857.94800
精确质量 857.39600
PSA 250.67000
LogP 3.28400
本网页内容来自不同专业数据源,如对内容有疑义,欢迎联系service1@chemsrc.com。