cas号查询
登录
注册
化源商城
首页
我的化源
个人信息
我的求购
我的供货
快速发布求购
联系我们
English
前往化源商城
文献检索
官能团搜索
结构式搜索
搜索
供应商:
我要出现这里
暂无推荐供应商。
我要出现这里
相关CAS号:
2034234-39-2
2034451-05-1
2034633-81-1
2034451-17-5
2034234-46-1
2034477-32-0
2034451-22-2
2034509-35-6
2034477-46-6
2034234-48-3
916250-60-7
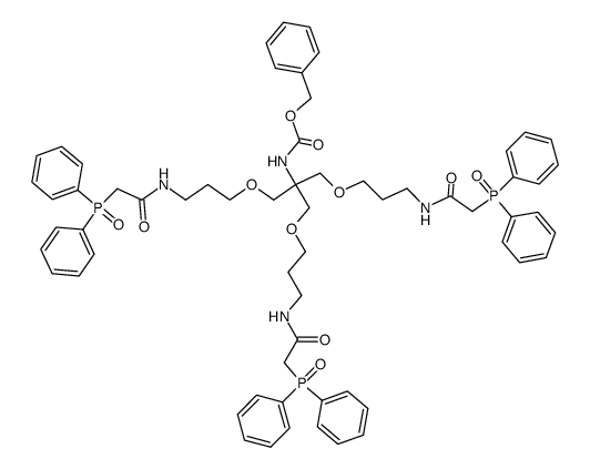
916250-60-7结构式
常用中文名:
(2-{3-[2-(Diphenyl-phosphinoyl)-acetylamino]-propoxy}-1,1-bis-{3-[2-(diphenyl-phosphinoyl)-acetylamino]-propoxymethyl}-ethyl)-carbamic acid benzyl ester
常用英文名:
(2-{3-[2-(Diphenyl-phosphinoyl)-acetylamino]-propoxy}-1,1-bis-{3-[2-(diphenyl-phosphinoyl)-acetylamino]-propoxymethyl}-ethyl)-carbamic acid benzyl ester
CAS号:
916250-60-7
分子式:
C
63
H
71
N
4
O
11
P
3
分子量:
1153.18000
发布时间:
2018-06-22 12:02:21
更新时间:
2025-11-25 16:52:09
化源商城直购
名称
物化性质
英文名
(2-{3-[2-(Diphenyl-phosphinoyl)-acetylamino]-propoxy}-1,1-bis-{3-[2-(diphenyl-phosphinoyl)-acetylamino]-propoxymethyl}-ethyl)-carbamic acid benzyl ester
分子式
C
63
H
71
N
4
O
11
P
3
分子量
1153.18000
精确质量
1152.43000
PSA
233.96000
LogP
8.82620
本网页内容来自不同专业数据源,如对内容有疑义,欢迎联系service1@chemsrc.com。
【916250-60-7】化源网提供CAS号/CAS登录号916250-60-7,CAS No.:916250-60-7的msds、结构式、性质、英文名、生产厂家、作用/用途、分子式/化学式、密度、沸点、熔点等。CAS号查询916250-60-7上化源网,专业又轻松。
标题:916250-60-7_CAS号:916250-60-7_CAS No.:916250-60-7 - 化源网 地址:https://www.chemsrc.com/baike/1379222.html
×
详细合成路线
×
退出
×
登录
用户名:
密 码: