cas号查询
登录
注册
化源商城
首页
我的化源
个人信息
我的求购
我的供货
快速发布求购
联系我们
English
前往化源商城
文献检索
官能团搜索
结构式搜索
搜索
供应商:
我要出现这里
暂无推荐供应商。
我要出现这里
相关CAS号:
2639449-63-9
2172573-61-2
2171342-42-8
2171383-93-8
2171432-14-5
2171426-89-2
2171343-39-6
2171155-96-5
2171246-23-2
2171238-79-0
56227-26-0
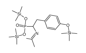
56227-26-0结构式
常用中文名:
[1-(Isopropylideneamino)-2-[4-(trimethylsiloxy)phenyl]ethyl]phosphonic acid bis(trimethylsilyl) ester
常用英文名:
[1-(Isopropylideneamino)-2-[4-(trimethylsiloxy)phenyl]ethyl]phosphonic acid bis(trimethylsilyl) ester
CAS号:
56227-26-0
分子式:
C
20
H
40
NO
4
PSi
3
分子量:
473.76600
发布时间:
2018-04-07 17:35:17
更新时间:
2025-09-20 18:59:48
化源商城直购
名称
物化性质
英文名
[1-(Isopropylideneamino)-2-[4-(trimethylsiloxy)phenyl]ethyl]phosphonic acid bis(trimethylsilyl) ester
分子式
C
20
H
40
NO
4
PSi
3
分子量
473.76600
精确质量
473.20000
PSA
66.93000
LogP
7.14580
本网页内容来自不同专业数据源,如对内容有疑义,欢迎联系service1@chemsrc.com。
【56227-26-0】化源网提供CAS号/CAS登录号56227-26-0,CAS No.:56227-26-0的msds、结构式、性质、英文名、生产厂家、作用/用途、分子式/化学式、密度、沸点、熔点等。CAS号查询56227-26-0上化源网,专业又轻松。
标题:56227-26-0_CAS号:56227-26-0_CAS No.:56227-26-0 - 化源网 地址:https://www.chemsrc.com/baike/1369921.html
×
详细合成路线
×
退出
×
登录
用户名:
密 码: