前往化源商城

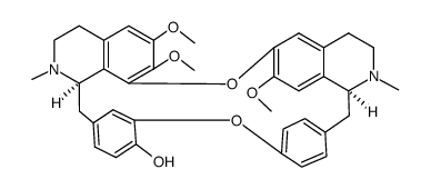
25514-42-5

25514-42-5结构式
25514-42-5结构式

化源商城直购

英文名 6,7,7'-trimethoxy-2,2'-dimethyl-(1αH)-thalicberan-12-ol
英文别名 Isothalicberin
isothalicberine
1-isothalicberine
分子式 C37H40N2O6
分子量 608.72300
精确质量 608.28900
PSA 72.86000
LogP 6.73520
本网页内容来自不同专业数据源,如对内容有疑义,欢迎联系service1@chemsrc.com。