cas号查询
登录
注册
化源商城
首页
我的化源
个人信息
我的求购
我的供货
快速发布求购
联系我们
English
前往化源商城
文献检索
官能团搜索
结构式搜索
搜索
供应商:
我要出现这里
暂无推荐供应商。
我要出现这里
相关CAS号:
11138-87-7
133267-33-1
17548-66-2
19267-05-1
12324-85-5
202861-31-2
62974-96-3
81560-78-3
661488-62-6
11073-43-1
2228986-78-3
2171340-83-1
2138573-70-1
2138092-62-1
2138051-10-0
2138092-65-4
2138057-67-5
2138057-72-2
2138097-79-5
2138092-85-8
11138-87-7
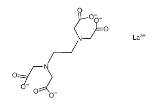
11138-87-7结构式
常用中文名:
ethylenediaminetetraacetato lanthanum
常用英文名:
ethylenediaminetetraacetato lanthanum
CAS号:
11138-87-7
分子式:
C
10
H
12
LaN
2
O
8
分子量:
428.12400
发布时间:
2018-04-27 10:57:15
更新时间:
2025-11-25 11:53:04
化源商城直购
名称
物化性质
英文名
ethylenediaminetetraacetato lanthanum
分子式
C
10
H
12
LaN
2
O
8
分子量
428.12400
精确质量
427.97400
PSA
167.00000
本网页内容来自不同专业数据源,如对内容有疑义,欢迎联系service1@chemsrc.com。
【11138-87-7】化源网提供CAS号/CAS登录号11138-87-7,CAS No.:11138-87-7的msds、结构式、性质、英文名、生产厂家、作用/用途、分子式/化学式、密度、沸点、熔点等。CAS号查询11138-87-7上化源网,专业又轻松。
标题:11138-87-7_CAS号:11138-87-7_CAS No.:11138-87-7 - 化源网 地址:https://www.chemsrc.com/baike/1286643.html
×
详细合成路线
×
退出
×
登录
用户名:
密 码: