前往化源商城

品牌现货直购
供应商:我要出现这里

暂无推荐供应商。我要出现这里

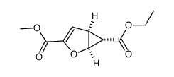
302349-65-1

302349-65-1结构式
302349-65-1结构式

化源商城直购

英文名 (1S,5S,6S)-(-)-2-oxabicyclo[3.1.0]hex-3-ene-3,6-dicarboxylic acid 6-ethyl ester 3-methyl ester
英文别名 6-ethyl 3-methyl (1S,5S,6S)-2-oxabicyclo[3.1.0]hex-3-ene-3,6-dicarboxylate
(1S,5S,6S)-6-ethyl 3-methyl 2-oxabicyclo[3.1.0]hex-3-ene-3,6-dicarboxylate
(1S,5S,6S)-2-Oxa-bicyclo[3.1.0]hex-3-ene-3,6-dicarboxylic acid 6-ethyl ester 3-methyl ester
(1S,5S,6S)-(-)-2-oxabicyclo[3.1.0]hex-3-ene-3,6-dicarboxylic acid 6-ethyl ester 3-methylester
6-ethyl 3-methyl (1S,5S,6S)-(-)-2-oxa-bicyclo[3.1.0]hex-3-ene-3,6-dicarboxylate
分子式 C10H12O5
分子量 212.19900
精确质量 212.06800
PSA 61.83000
LogP 0.25120
本网页内容来自不同专业数据源,如对内容有疑义,欢迎联系service1@chemsrc.com。