cas号查询
登录
注册
化源商城
首页
我的化源
个人信息
我的求购
我的供货
快速发布求购
联系我们
English
前往化源商城
文献检索
官能团搜索
结构式搜索
搜索
供应商:
我要出现这里
暂无推荐供应商。
我要出现这里
相关CAS号:
2918780-13-7
2468465-77-0
218923-84-3
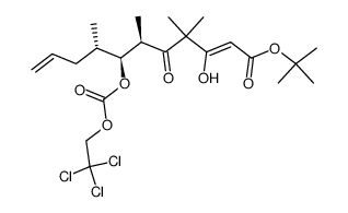
218923-84-3结构式
常用中文名:
tert-butyl (6R,7S,8S,Z)-3-hydroxy-4,4,6,8-tetramethyl-5-oxo-7-(((2,2,2-trichloroethoxy)carbonyl)oxy)undeca-2,10-dienoate
常用英文名:
tert-butyl (6R,7S,8S,Z)-3-hydroxy-4,4,6,8-tetramethyl-5-oxo-7-(((2,2,2-trichloroethoxy)carbonyl)oxy)undeca-2,10-dienoate
CAS号:
218923-84-3
分子式:
C
22
H
33
Cl
3
O
7
分子量:
515.85200
发布时间:
2018-02-06 07:15:49
更新时间:
2024-03-01 17:59:42
化源商城直购
名称
物化性质
英文名
tert-butyl (6R,7S,8S,Z)-3-hydroxy-4,4,6,8-tetramethyl-5-oxo-7-(((2,2,2-trichloroethoxy)carbonyl)oxy)undeca-2,10-dienoate
分子式
C
22
H
33
Cl
3
O
7
分子量
515.85200
精确质量
514.12900
PSA
99.13000
LogP
6.10560
本网页内容来自不同专业数据源,如对内容有疑义,欢迎联系service1@chemsrc.com。
【218923-84-3】化源网提供CAS号/CAS登录号218923-84-3,CAS No.:218923-84-3的msds、结构式、性质、英文名、生产厂家、作用/用途、分子式/化学式、密度、沸点、熔点等。CAS号查询218923-84-3上化源网,专业又轻松。
标题:218923-84-3_CAS号:218923-84-3_CAS No.:218923-84-3 - 化源网 地址:https://www.chemsrc.com/baike/1273333.html
×
详细合成路线
×
退出
×
登录
用户名:
密 码: