cas号查询
登录
注册
化源商城
首页
我的化源
个人信息
我的求购
我的供货
快速发布求购
联系我们
English
前往化源商城
文献检索
官能团搜索
结构式搜索
搜索
供应商:
我要出现这里
暂无推荐供应商。
我要出现这里
相关CAS号:
2248354-76-7
2248273-33-6
2248273-51-8
2248342-30-3
2228838-57-9
2229301-54-4
2227648-77-1
2229669-32-1
2228448-23-3
2228826-06-8
101859-28-3
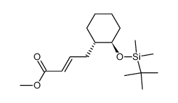
101859-28-3结构式
常用中文名:
methyl 4-((1S,2R)-2-((tert-butyldimethylsilyl)oxy)cyclohexyl)but-2-enoate
常用英文名:
methyl 4-((1S,2R)-2-((tert-butyldimethylsilyl)oxy)cyclohexyl)but-2-enoate
CAS号:
101859-28-3
分子式:
C
17
H
32
O
3
Si
分子量:
312.52000
发布时间:
2018-03-13 11:16:44
更新时间:
2025-09-19 15:54:26
化源商城直购
名称
物化性质
英文名
methyl 4-((1S,2R)-2-((tert-butyldimethylsilyl)oxy)cyclohexyl)but-2-enoate
分子式
C
17
H
32
O
3
Si
分子量
312.52000
精确质量
312.21200
PSA
35.53000
LogP
4.68630
本网页内容来自不同专业数据源,如对内容有疑义,欢迎联系service1@chemsrc.com。
【101859-28-3】化源网提供CAS号/CAS登录号101859-28-3,CAS No.:101859-28-3的msds、结构式、性质、英文名、生产厂家、作用/用途、分子式/化学式、密度、沸点、熔点等。CAS号查询101859-28-3上化源网,专业又轻松。
标题:101859-28-3_CAS号:101859-28-3_CAS No.:101859-28-3 - 化源网 地址:https://www.chemsrc.com/baike/1264209.html
×
详细合成路线
×
退出
×
登录
用户名:
密 码: