cas号查询
登录
注册
化源商城
首页
我的化源
个人信息
我的求购
我的供货
快速发布求购
联系我们
English
前往化源商城
文献检索
官能团搜索
结构式搜索
搜索
供应商:
我要出现这里
暂无推荐供应商。
我要出现这里
相关CAS号:
50583-13-6
785764-80-9
41570-79-0
64593-36-8
64939-13-5
852529-28-3
58770-12-0
1359657-62-7
17375-29-0
13928-31-9
1361866-46-7
1803882-78-1
1806366-23-3
1803868-24-7
1806460-12-7
1034442-13-1
1806788-06-6
1805957-21-4
1804490-24-1
1805393-22-9
50583-13-6
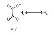
50583-13-6结构式
常用中文名:
(Mn(II) oxalate*hydrazine)n
常用英文名:
(Mn(II) oxalate*hydrazine)n
CAS号:
50583-13-6
分子式:
C
2
H
4
MnN
2
O
4
分子量:
175.00200
发布时间:
2018-04-30 23:01:17
更新时间:
2025-10-25 20:25:14
化源商城直购
名称
物化性质
英文名
(Mn(II) oxalate*hydrazine)n
分子式
C
2
H
4
MnN
2
O
4
分子量
175.00200
精确质量
174.95500
PSA
132.30000
本网页内容来自不同专业数据源,如对内容有疑义,欢迎联系service1@chemsrc.com。
【50583-13-6】化源网提供CAS号/CAS登录号50583-13-6,CAS No.:50583-13-6的msds、结构式、性质、英文名、生产厂家、作用/用途、分子式/化学式、密度、沸点、熔点等。CAS号查询50583-13-6上化源网,专业又轻松。
标题:50583-13-6_CAS号:50583-13-6_CAS No.:50583-13-6 - 化源网 地址:https://www.chemsrc.com/baike/1261012.html
×
详细合成路线
×
退出
×
登录
用户名:
密 码: