cas号查询
登录
注册
化源商城
首页
我的化源
个人信息
我的求购
我的供货
快速发布求购
联系我们
English
前往化源商城
文献检索
官能团搜索
结构式搜索
搜索
供应商:
我要出现这里
暂无推荐供应商。
我要出现这里
相关CAS号:
2228284-17-9
2228799-85-5
2228703-05-5
2229121-20-2
2229548-53-0
2229578-58-7
2228471-22-3
2649087-70-5
2229049-65-2
2229235-71-4
219606-76-5
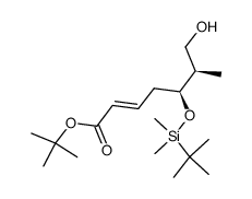
219606-76-5结构式
常用中文名:
tert-butyl (5S,6R)-5-tert-butyldimethylsilanyloxy-7-hydroxy-6-methylhept-2(E)-enoate
常用英文名:
tert-butyl (5S,6R)-5-tert-butyldimethylsilanyloxy-7-hydroxy-6-methylhept-2(E)-enoate
CAS号:
219606-76-5
分子式:
C
18
H
36
O
4
Si
分子量:
344.56200
发布时间:
2018-03-02 09:30:10
更新时间:
2024-09-08 13:18:39
化源商城直购
名称
物化性质
英文名
tert-butyl (5S,6R)-5-tert-butyldimethylsilanyloxy-7-hydroxy-6-methylhept-2(E)-enoate
分子式
C
18
H
36
O
4
Si
分子量
344.56200
精确质量
344.23800
PSA
55.76000
LogP
4.29320
本网页内容来自不同专业数据源,如对内容有疑义,欢迎联系service1@chemsrc.com。
【219606-76-5】化源网提供CAS号/CAS登录号219606-76-5,CAS No.:219606-76-5的msds、结构式、性质、英文名、生产厂家、作用/用途、分子式/化学式、密度、沸点、熔点等。CAS号查询219606-76-5上化源网,专业又轻松。
标题:219606-76-5_CAS号:219606-76-5_CAS No.:219606-76-5 - 化源网 地址:https://www.chemsrc.com/baike/1248855.html
×
详细合成路线
×
退出
×
登录
用户名:
密 码: