前往化源商城

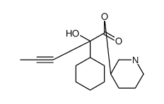
92955-94-7

92955-94-7结构式
92955-94-7结构式

化源商城直购

英文名 1-azabicyclo[2.2.2]octan-3-yl 2-cyclohexyl-2-hydroxypent-3-ynoate
分子式 C18H27NO3
分子量 305.41200
精确质量 305.19900
PSA 49.77000
LogP 1.89640

CHEMICAL IDENTIFICATION

RTECS NUMBER :
GV3089000
CHEMICAL NAME :
Cyclohexaneglycolic acid, alpha-(1-propynyl)-, 3-quinuclidinyl ester
CAS REGISTRY NUMBER :
92955-94-7
LAST UPDATED :
199709
DATA ITEMS CITED :
1
MOLECULAR FORMULA :
C18-H27-N-O3
MOLECULAR WEIGHT :
305.46
WISWESSER LINE NOTATION :
T66 A B CNTJ AOVXQ1UU2&- AL6TJ

HEALTH HAZARD DATA

ACUTE TOXICITY DATA

TYPE OF TEST :
LD50 - Lethal dose, 50 percent kill
ROUTE OF EXPOSURE :
Intravenous
SPECIES OBSERVED :
Rodent - mouse
DOSE/DURATION :
63 mg/kg
TOXIC EFFECTS :
Details of toxic effects not reported other than lethal dose value
REFERENCE :
CSLNX* U.S. Army Armament Research & Development Command, Chemical Systems Laboratory, NIOSH Exchange Chemicals. (Aberdeen Proving Ground, MD 21010) Volume(issue)/page/year: NX#11448

本网页内容来自不同专业数据源,如对内容有疑义,欢迎联系service1@chemsrc.com。