cas号查询
登录
注册
化源商城
首页
我的化源
个人信息
我的求购
我的供货
快速发布求购
联系我们
English
前往化源商城
文献检索
官能团搜索
结构式搜索
搜索
供应商:
我要出现这里
暂无推荐供应商。
我要出现这里
相关CAS号:
2353736-61-3
860532-14-5
1780572-95-3
1369095-58-8
1525601-27-7
1511344-16-3
1539040-00-0
1369208-23-0
1369831-04-8
1781644-72-1
94982-14-6
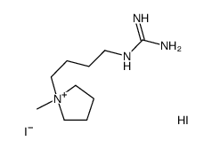
94982-14-6结构式
常用中文名:
2-[4-(1-methylpyrrolidin-1-ium-1-yl)butyl]guanidine,iodide,hydroiodide
常用英文名:
2-[4-(1-methylpyrrolidin-1-ium-1-yl)butyl]guanidine,iodide,hydroiodide
CAS号:
94982-14-6
分子式:
C
10
H
24
I
2
N
4
分子量:
454.13300
发布时间:
2017-02-10 22:23:51
更新时间:
2024-04-18 08:20:24
化源商城直购
名称
物化性质
英文名
2-[4-(1-methylpyrrolidin-1-ium-1-yl)butyl]guanidine,iodide,hydroiodide
分子式
C
10
H
24
I
2
N
4
分子量
454.13300
精确质量
454.00900
PSA
61.90000
本网页内容来自不同专业数据源,如对内容有疑义,欢迎联系service1@chemsrc.com。
【94982-14-6】化源网提供CAS号/CAS登录号94982-14-6,CAS No.:94982-14-6的msds、结构式、性质、英文名、生产厂家、作用/用途、分子式/化学式、密度、沸点、熔点等。CAS号查询94982-14-6上化源网,专业又轻松。
标题:94982-14-6_CAS号:94982-14-6_CAS No.:94982-14-6 - 化源网 地址:https://www.chemsrc.com/baike/1008018.html
×
详细合成路线
×
退出
×
登录
用户名:
密 码: