前往化源商城

Streptomycin. II. 1 Reduction and Oxidation Products of Streptomycin and of Streptobiosamine2

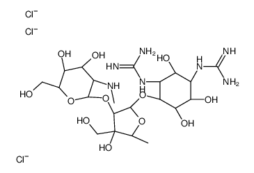
J Fried, O Wintersteiner

文献索引:Fried; Wintersteiner Journal of the American Chemical Society, 1947 , vol. 69, p. 79,84

全文:HTML全文

被引用次数: 52

摘要

Recent investigations on the structure of streptorn: ycin have shown that it is composed of a base, streptidine, CaHlg04N6 (1), 11334, 5 linked glycosidically, to streptobiosamine, a nitrogencontaining bisa. ccharide of the formula C13H21-23-OgN (II). 3 The glycosidic linkage between these two moieties is easily cleaved by hydrogen chloride in methanol with the formation of streptidine hydrochloride and methyl streptobiosaminide dimethyl acetal. ...