undecapotassium hydrogen [ethane-1,2-diylbis[[(phosphonatomethyl)imino]ethane-2,1-diylnitrilobis(methylene)]]tetrakisphosphonate

Modify Date: 2025-09-18 18:56:39

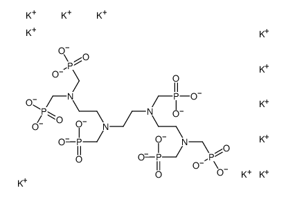
undecapotassium hydrogen [ethane-1,2-diylbis[[(phosphonatomethyl)imino]ethane-2,1-diylnitrilobis(methylene)]]tetrakisphosphonate Structure
undecapotassium hydrogen [ethane-1,2-diylbis[[(phosphonatomethyl)imino]ethane-2,1-diylnitrilobis(methylene)]]tetrakisphosphonate structure
Common Name undecapotassium hydrogen [ethane-1,2-diylbis[[(phosphonatomethyl)imino]ethane-2,1-diylnitrilobis(methylene)]]tetrakisphosphonate
CAS Number 94023-05-9 Molecular Weight 1128.26000
Density N/A Boiling Point N/A
Molecular Formula C12H24K11N4O18P6 Melting Point N/A
MSDS N/A Flash Point N/A

 Names

Name undecapotassium,N,N'-bis[2-[bis(phosphonatomethyl)amino]ethyl]-N,N'-bis(phosphonatomethyl)ethane-1,2-diamine,hydron
Synonym More Synonyms

 Chemical & Physical Properties

Molecular Formula C12H24K11N4O18P6
Molecular Weight 1128.26000
Exact Mass 1126.55000
PSA 450.96000
LogP 2.26400
InChIKey MIRWYEKUXFEWBB-UHFFFAOYSA-C
SMILES O=P([O-])([O-])CN(CCN(CCN(CP(=O)([O-])[O-])CP(=O)([O-])[O-])CP(=O)([O-])[O-])CCN(CP(=O)([O-])[O-])CP(=O)([O-])[O-].[H+].[K+].[K+].[K+].[K+].[K+].[K+].[K+].[K+].[K+].[K+].[K+]

 Synonyms

einecs 301-600-8
The content on this webpage is sourced from various professional data sources. If you have any questions or concerns regarding the content, please feel free to contact service1@chemsrc.com.