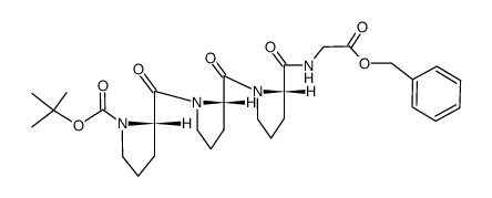
Boc-(Pro)3-Gly-OBzl

Modify Date: 2025-08-22 22:17:47

Boc-(Pro)3-Gly-OBzl Structure
Boc-(Pro)3-Gly-OBzl structure
Common Name Boc-(Pro)3-Gly-OBzl
CAS Number 87215-43-8 Molecular Weight 556.65000
Density N/A Boiling Point N/A
Molecular Formula C29H40N4O7 Melting Point N/A
MSDS N/A Flash Point N/A

 Names

Name Boc-(Pro)3-Gly-OBzl
Synonym More Synonyms

 Chemical & Physical Properties

Molecular Formula C29H40N4O7
Molecular Weight 556.65000
Exact Mass 556.29000
PSA 125.56000
LogP 2.43210

 Synonyms

(S)-2-{(S)-2-[(S)-2-(Benzyloxycarbonylmethyl-carbamoyl)-pyrrolidine-1-carbonyl]-pyrrolidine-1-carbonyl}-pyrrolidine-1-carboxylic acid tert-butyl ester
The content on this webpage is sourced from various professional data sources. If you have any questions or concerns regarding the content, please feel free to contact service1@chemsrc.com.